Меню
ГлавнаяВодоснабжение СППРОТОКОЛ ИСПЫТАНИИ № 02-00-05/13576-25 от 27.08.2025 г.

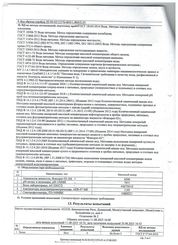
ПРОТОКОЛ ИСПЫТАНИИ № 02-00-05/13576-25 от 27.08.2025 г.